Municípios do AC vão receber mais de R$ 2 milhões para assistência farmacêutica
Portaria que estabelece os valores do repasse foi publicada no Diário Oficial do Estado (DOE) desta sexta-feira (19). Recurso é referente ao execício de 2020.
/i.s3.glbimg.com/v1/AUTH_59edd422c0c84a879bd37670ae4f538a/internal_photos/bs/2020/P/t/54X1AoQByDJ9BXu3caQg/whatsapp-image-2020-06-19-at-12.10.36-1-.jpeg)
Os
22 municípios do Acre vão receber mais de R$ 2 milhões da Secretaria Estadual
de Saúde (Sesacre) como auxílio básico para a assistência farmacêutica e também
inclui insumos para os pacientes com diabetes e que precisam tomar insulina.
A portaria que estabelece os valores do
repasse foi publicada no Diário Oficial do Estado (DOE) desta sexta-feira (19).
Recurso é referente ao execício de 2020. O G1 não conseguiu falar com o secretário de saúde do estado
até esta publicação.
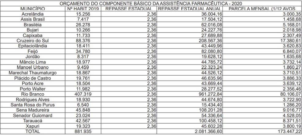
Conforme a publicação, o valor do
auxílio é de R$ 2,36 por morador. Sendo assim, a capital a acreana que
concentra a maior população do estado, com pouco mais de 400 mil habitantes,
vai receber R$ 961.272. Cruzeiro do Sul, no interior, vai receber 208.567, para
uma população de quase 90 mil pessoas.
/i.s3.glbimg.com/v1/AUTH_59edd422c0c84a879bd37670ae4f538a/internal_photos/bs/2020/f/F/BZoZTARK6Vglw27XNxSg/tabela.png)